平流雾是沿海和内陆常见的灾害性天气过程,其形成和演变受低层热力与动力条件共同作用,预报难度较大。资料同化能够通过优化初始场来改善雾的模拟,但现有研究大多集中于台风等强天气过程,对雾过程的研究仍较为有限。FY-3D 卫星搭载的微波湿度计Ⅱ(MWHS-2)可以提供高时空分辨率的温湿廓线信息,为雾过程的数值模拟提供了新的资料支撑。
围绕上述问题,中心许冬梅教师团队在中尺度数值模式WRF(Weather Research and Forecasting Model)中,自主构建了微波湿度探测仪MWHS-2的同化模块。本文利用中尺度数值模式 WRF及其 3DVAR 同化系统,针对2021年1月南海暖平流雾和2021年12月华北冷平流雾两个典型个例开展数值模拟。研究设计了对照试验(Exp_Control)、仅同化常规观测(Exp_Gts)、仅同化FY-3D卫星MWHS-2辐射资料(Exp_Mwhs2)以及联合同化(Exp_Da)四组试验,并采用 RTTOV 作为观测算子。结果表明:MWHS-2辐射资料同化能够有效改进低层湿度和温湿廓线的分析,与常规观测联合同化时效果最优。在暖平流雾过程中,Exp_da 显著增强了琼州海峡及雷州半岛附近的低层湿度,并更好再现了雾区的空间分布;在冷平流雾过程中,Exp_da 则准确刻画了渤海南部的水汽积聚和冷平流结构。技巧评分结果显示,联合同化相较于其他试验表现出更高的预报技巧,表明同化MWHS-2辐射资料对提升平流雾空间分布和定量预报均具有积极作用。
本研究针对FY-3D卫星MWHS-2的水汽通道辐射资料,开展了暖平流雾和冷平流雾两个典型个例的同化试验,结果表明MWHS-2辐射资料在改善低层湿度结构和雾区再现方面具有积极作用,为极轨卫星微波资料在平流雾数值预报中的应用提供了有益参考。不足之处在于,本研究仅选取了两个典型个例进行检验,结论的普适性仍需更多个例进行验证;同时能见度诊断方法仍存在一定不确定性。未来的研究应进一步探索全空同化方法,更好地利用受云和降水影响的观测资料,并尝试结合集合同化、四维变分等更先进的方法,以提高对平流雾发生发展的模拟和预报能力。

Figure 1. Visibility (shaded, unit: km) from (a,b) the observation, (c,d)Exp_Control, (e,f) Exp_Da, at 2100 UTC on January 23 (left panel), at 0000 UTC on January 24 (right panel).

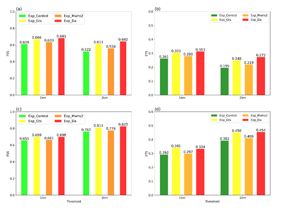
Figure 2. The (a,c) FSS and (b,d) ETS of visibility (a) at 2100 UTC on January 23, (b) at 0000 UTC on January 24.

Figure 3. Visibility (shaded, unit: km) from (a) the observation, (b) Exp_Control, (c) Exp_Da, at 0100 UTC on December 10.
论文信息:
Xu, D. M., Chen, H., Chen, Y. F., et al. The impact of assimilating FY-3D Microwave Humidity Sounder II radiance data on the analysis and forecast of two advection fog cases. Atmospheric Research, 2025, 323, 108162. https://doi.org/10.1016/j.atmosres.2025.108162
