在陆面模式中对地表植被进行模拟,是模式发展中的一个重要课题。植物根系吸水过程是植被模拟中的一个关键过程,它对陆地表面能量平衡和水循环都有着重要影响。近日,朱司光博士和陈海山教授与中山大学戴永久院士团队合作,对陆面模式Common Land Model(CoLM)中的根系吸水参数化方案进行了改进,考虑了土壤低温胁迫在植物根系吸水过程的作用,并评估了其对能量通量模拟的影响,相关成果发表于《Journal of Advances in Modeling Earth Systems》。
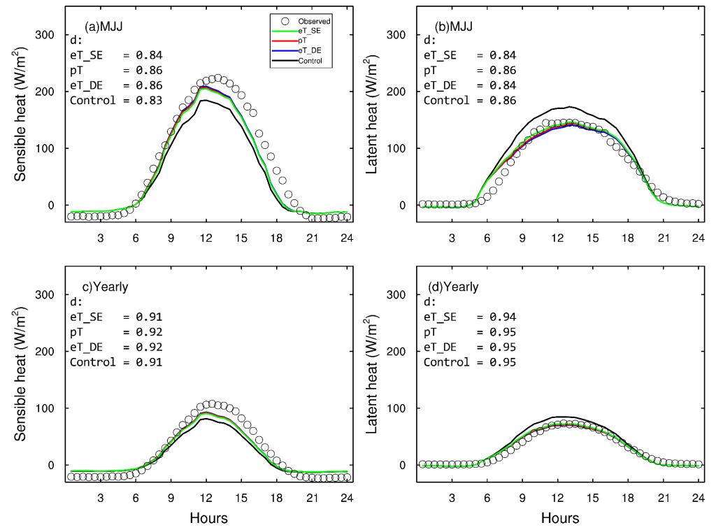
土壤中的低温胁迫可以通过抑制植物根系的生长,增加土壤-植物-大气连续体之间水分移动的阻力,从而降低植物根系吸水的速率。现有陆面模式没有考虑这种低温胁迫的影响,因而,本研究引入了三个表征土壤低温胁迫的公式,加入CoLM模式的根系吸水参数化方案当中,以量化土壤低温胁迫对陆-气物质能量交换的影响。研究利用三个FLUXNET站点观测数据和全球潜热重建数据(FLUXNET-MTE)对CoLM模式模拟的地表能量通量进行了评估。单点模拟结果表明,原版CoLM模式(没有考虑土壤低温胁迫的影响)会在春季高估站点的潜热通量而低估感热通量,模拟结果的RMSE可达40 W/m2。通过在根系吸水过程参数化方案中引入土壤低温胁迫公式,可以有效降低模式在研究站点的潜热和感热模拟误差(Fig. 1)。全球离线模拟的结果也表明,在CoLM中考虑土壤低温胁迫的作用,有助于提高模式在中高纬地区的潜热通量模拟能力(Fig. 2)。虽然相关物理过程和参数的不确定性值得进一步研究,但本研究的结果表明,考虑土壤低温胁迫,可以显著改进陆面模式对于能量通量的模拟能力(特别是在中高纬地区),有必要将其整合到未来的陆面模式中,以提高模式的可靠性。

Figure 1. Comparison between observed and simulated annual mean half-hour values of latent and sensible heat fluxes during May, June, and July (MJJ, a and b) and whole year (c and d) at the FI-Let site from 2010 to 2011 with four model simulations: S01 (black, control), S02 (blue, eT_DE, one of the low soil temperature stress functions), S03 (red, pT, one of the low soil temperature stress functions) and S04 (green, eT_SE, one of the low soil temperature stress functions). The circle means observational values. The agreement indexes (d) for the corresponding period are also showed on the related figures.

Figure 2. Differences of 10-year seasonal mean latent heat (W/m2) between FLUXNET-MTE and the control run S01 in the Northern Hemisphere in two seasons: MAM (a) and JJA (b) (from the left column to the right column). And differences of 10-year seasonal mean latent heat between the control run and three sensitivity runs: S02 (c and d), S03 (e and f), and S04 (g and h) in the same two seasons.
相关文献:
Zhu S., H. Chen, Y. Dai, X. Lu, W. Shangguan, H. Yuan, N. Wei. 2021 Evaluation of the effect of low soil temperature stress on the land surface energy fluxes simulation in the site and global offline experiments. Journal of Advances in Modeling Earth Systems. https://doi.org/10.1029/2020MS002403
